MR-UBi: Mixed Reality-Based Underwater Robot Arm Teleoperation System with Reaction Torque Indicator via Bilateral Control
The University of Osaka / Kobe University

Why MR-UBi?
Underwater manipulation suffers from ambiguous force perception (drag, poor visibility, limited training). Bilateral teleoperation helps—but precisely feeling torque underwater is still difficult. MR-UBi closes this gap by putting torque into sight while you feel it in hand.
Related Work Comparison
The table below summarizes representative teleoperation interfaces for both land and underwater environments, highlighting differences in control architecture, feedback modality, and visualization strategies.
MR-UBi uniquely integrates mixed-reality visual augmentation with bilateral haptic feedback for underwater teleoperation.
What’s New
MR-UBi
- MR + Bilateral Control: 3-DoF leader–follower arm with gripper and 4-channel bilateral control at 1 kHz.
- Reaction Torque Indicator (RTI): A bar in the MR passthrough view encodes torque magnitude (length) and state (hybrid continuous–discrete color).
- Practical & low-cost: Each underwater arm ≈ USD 3,400 (Dynamixel XW540-T260, IP68).
- Validated with users (n=16): Significant gains in torque regulation, higher SUS, lower NASA–TLX.
System Overview
System Overview: MR-UBi

MR-UBi consists of:
- Underwater robot arm (3-DoF + gripper)
- Leader arm with 4-channel bilateral control (position + force control) @ 1000Hz
- RTI module integrated via the Unity-based MR-HMD passthrough pipeline
Underwater Robot Arm (MR-UBi Arm)
Underwater Robot Arm (MR-UBi Arm)

The MR-UBi system employs a 3-DoF underwater robotic arm with a two-finger gripper as both the leader and follower system.
Each joint is driven by waterproof Dynamixel XW540-T260 actuators (IP68), allowing direct operation in submerged environments without additional sealing hardware.
The mechanical structure combines aluminum profiles and 3D-printed components, achieving both rigidity and buoyancy balance.
This modular design ensures quick assembly and maintenance, while maintaining smooth backdrivability essential for bilateral control.
The per-arm material cost is approximately USD 3,400, offering a low-cost yet high-performance platform for underwater manipulation research.
Bilateral Control @ 1 kHz
4ch Bilateral Control
We use four-channel bilateral control:
- Position tracking:
θₗ − θ_f = 0 - Action–reaction torque:
τₗ + τ_f = 0 - Sensorless torque via a Reaction Torque Observer (RTOB)

As shown above, the leader–follower pair maintains tight position synchronization while satisfying the action–reaction torque relationship.
This demonstrates that MR-UBi’s bilateral control enables precise and stable haptic transmission even in the underwater domain.
Reaction Torque Indicator (RTI)
Reaction Torque Indicator (RTI)
The Reaction Torque Indicator (RTI) is the core visual–haptic interface of MR-UBi.
It augments the operator’s haptic perception by rendering underwater reaction torque directly in the MR field of view, allowing intuitive and continuous awareness of grasping force.
Unlike conventional numeric or discrete-color indicators, MR-UBi introduces a hybrid continuous–discrete encoding scheme that integrates quantitative torque magnitude and qualitative torque state into a single, glanceable bar.
🔹 Design Concept

Bar length represents the normalized torque magnitude in real time.
The visual filling ratio increases proportionally to the sensed torque, enabling the user to intuitively gauge relative strength.Color hue encodes grasping state (hybrid continuous–discrete encoding):
- Blue → under-grasp (low torque region)
- Green → optimal grasp (safe torque range)
- Red → over-grasp (excessive torque)
Smooth gradients interpolate between these hues, creating a natural transition around range boundaries and preventing abrupt perception shifts.
Spatial anchoring:
The RTI is fixed at the bottom-center of the MR-HMD passthrough, minimizing gaze shift and maintaining alignment with the real-world scene.
This ensures the operator can perceive torque variations without breaking situational awareness.
🔹 Visual–Haptic Synergy
MR-UBi
By combining bilateral haptic feedback (felt torque) and visual torque cues (RTI), this multimodal fusion helps operators:
- Rapidly identify when grasping torque deviates from the optimal band,
- Smoothly modulate applied force during contact transitions, and
- Maintain stability across objects of varying stiffness.

🔹 Key Advantage
The RTI achieves perceptual reinforcement:
it strengthens the user’s proprioceptive and haptic sense through a synchronized visual mapping, enabling significantly more stable and confident manipulation.
As demonstrated in our user study, operators using MR-UBi spent over twice as much time within the optimal torque range and exhibited lower mean torque error compared with the baseline bilateral system.
Experimental Procedure

We conducted a within-subject experiment comparing the Baseline and MR-UBi systems.
Objectives
- Evaluate torque control accuracy and stability
- Evaluate usability and workload (SUS, NASA–TLX)
Conditions
| Component | Baseline | MR-UBi |
|---|---|---|
| Bilateral control | ✅ | ✅ |
| MR-HMD passthrough | ✅ | ✅ |
| RTI visual overlay | ❌ | ✅ |
Experimental Environment

- Leader: Desk-mounted 3-DoF arm + Quest 3 MR-HMD
- Follower: Underwater arm fixed in a water tank
- Control Loop: 1 kHz bilateral control, Unity for visualization
RTI Parameters:T_min = 0.00 Nm, T_max = 0.60 Nm
Optimal band = [0.20, 0.40] Nm (target 0.30 Nm), margin 0.1 Nm
Colors = Blue → Green → Red
Experimental Phases
1. Preparation Phase (15 min)
- Participants receive task explanation and safety briefing.
- They practice bilateral operation without MR-HMD using a training object (different stiffness).
- Ensures safe operation and baseline familiarity.
2. Task Phase (30 min × 2 conditions)
Task (MR-UBi)

Participants perform both Baseline and MR-UBi conditions in counterbalanced order.
Tasks:
- Lift – grasp and lift a target object vertically.
- Pick & Place – lift, move horizontally, and place the object.
Objects:
- Rigid polyurethane block
- Compliant cellulose sponge
During Trials:
- In Baseline, numeric torque is shown only during calibration.
- In MR-UBi, the RTI remains visible throughout the task.
- After each condition, participants complete SUS and NASA–TLX questionnaires.
3. Final Phase (5 min)
- Participants complete an overall comparison survey and give free comments.
Participants
Sixteen participants (3 female, 13 male) took part in the study.
Four had no MR experience, eleven had limited experience, and one was a frequent MR user.
Only one participant had previous experience operating another robotic arm.
Quantitative Results: Torque Distribution


MR-UBi consistently compressed torque variance and maintained values within the optimal band (0.20–0.40 Nm),
indicating more stable and precise force modulation compared with Baseline.
Across all conditions, MR-UBi reduced both under- and over-grasping occurrences, halving MAE on average.
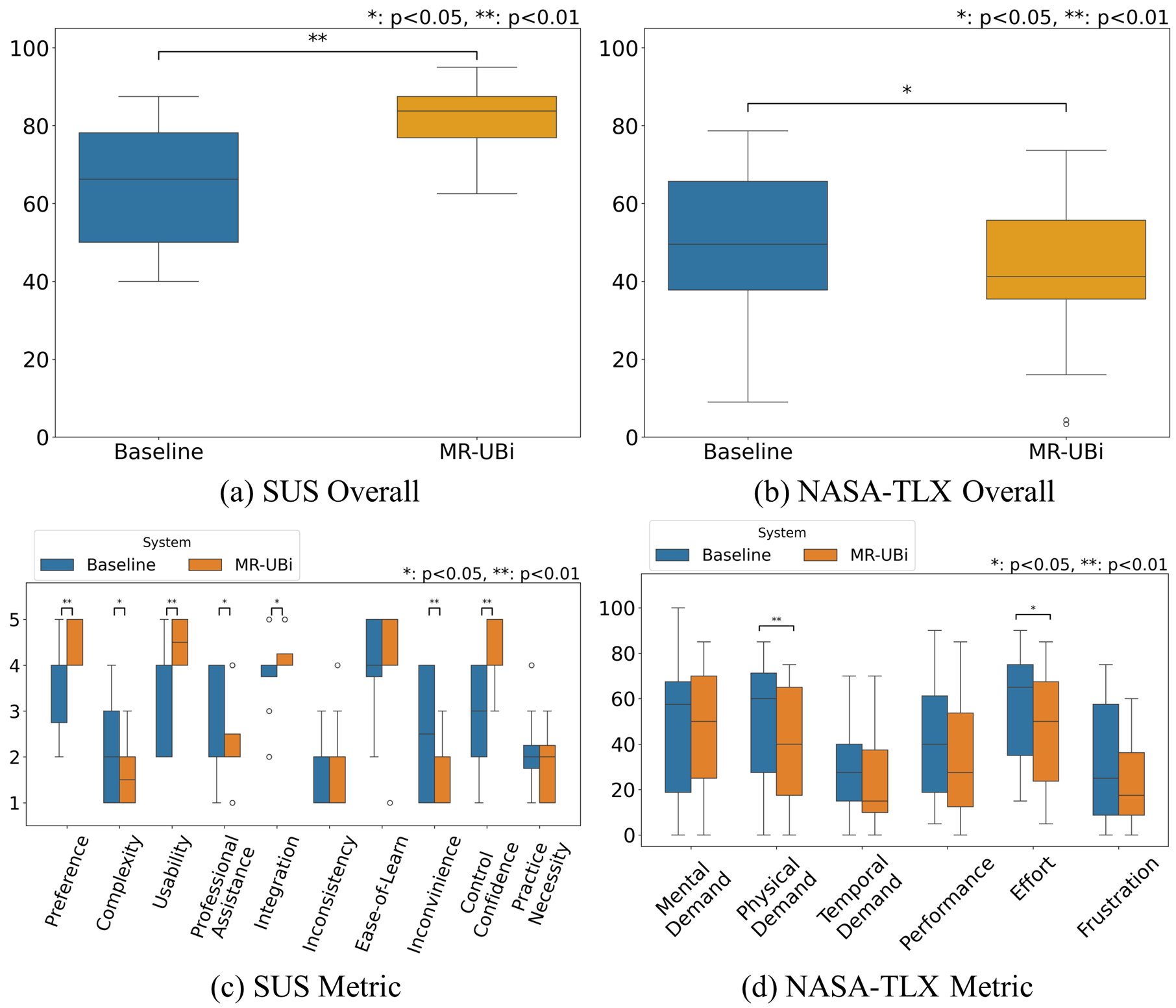
Subjective Evaluation


Participants reported higher confidence, stability, and comfort with MR-UBi, describing the RTI as “intuitive” and “visually reassuring.”
Citation
@ARTICLE{nishi2025mrubi,
author={Nishi, Kohei and Kobayashi, Masato and Uranishi, Yuki},
journal={IEEE Access},
title={MR-UBi: Mixed Reality-Based Underwater Robot Arm Teleoperation System with Reaction Torque Indicator via Bilateral Control},
year={2026},
volume={},
number={},
pages={1-10},
keywords={Torque;Visualization;Manipulators;Force;Robots;Haptic interfaces;Bars;Arm;Grippers;Resists;Underwater robot teleoperation;Mixed Reality (MR);Bilateral control;HRI},
doi={10.1109/ACCESS.2026.3672494}}
Contact
Masato Kobayashi (Assistant Professor, The University of Osaka, Kobe University, Japan)
- X (Twitter)
- English : https://twitter.com/MeRTcookingEN
- Japanese : https://twitter.com/MeRTcooking
- Linkedin https://www.linkedin.com/in/kobayashi-masato-robot/
* Corresponding author: Masato Kobayashi


